心理所研究揭示7-12岁儿童多重任务能力的发展规律
多重任务能力是指在一定时间内合理高效地安排处理多个任务的能力。多重任务能力在日常生活中且重要,日常家务如烧饭做菜都需要这种能力。这一能力与执行控制功能有关,与从儿童期到青年期持续发育的前额叶脑区也有密切关系。但是,目前对儿童期多重任务能力的基本发展规律尚未明晰。
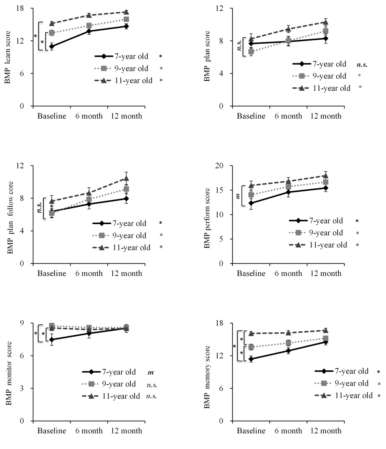
为弥补这一研究空白,中国科学院心理健康重点实验室、神经心理学和应用认知神经科学实验室的杨天笑助理研究员、王亚副研究员、陈楚侨研究员以及国际合作者联合考察了儿童期多重任务能力的发展规律。他们在两年内对65名7岁、9岁和11岁的儿童分别施测了三次(包括儿童版六元素测试和儿童版格林威治任务测试)。儿童版六元素测试要求儿童在十分钟内尝试六项子任务,同时不能违反一个特殊规则。评测指标包括:多重任务的整体表现、尝试的任务个数以及违反规则的次数。儿童版格林威治任务测试需要儿童根据子任务重要性的不同策略性地进行计划,并在三分钟内尝试三项子任务。较之六元素任务,儿童格林威治任务在认知上的负荷更高,并能测量多重任务能力所包含的不同认知成分,包括规则学习、计划、计划执行、监测和规则记忆能力。
六元素任务和儿童格林威治任务的结果分别呈现在图1和图2 中。整体上,7至12岁儿童的多重任务能力表现出连续和线性的发展规律。7岁的儿童已经能够很好地理解多重任务的要求并为部分子任务安排时间。随着年龄的增长,儿童尝试的子任务有所增加,绝大多数8岁儿童能够尝试大部分的子任务。到了9岁,儿童能轻易地记住几分钟前尝试过的子任务的内容和顺序。到了11岁,基本多重任务能力发展变慢,但复杂的多重任务能力继续呈线性增长。到了12岁,儿童已能够有效地安排重要性相同的多个子任务,但对重要性各异的多个子任务的安排和处理还不够娴熟。
此外,多重任务的不同认知成分也表现出不同的发展轨迹。比如,回溯性记忆(即记住规则的能力)表现出和整体多重任务能力相似的线性发展规律,表明回溯记忆在多重任务中可能起到一个支持促进的作用。对复杂多重任务的计划能力在7至11岁发展缓慢,提示计划能力可能会是整体多重任务能力发展的瓶颈,但如果发展迅速也可能是多重能力未来发展的一个潜在动力。计划执行能力在7至11岁发展缓慢,但反复测量会提高这一能力,提示练习以及对多重任务环境的熟悉可能有助于提高计划执行能力。

图1. 三个年龄组儿童在三个时间点六元素任务的表现(包括平均数和标准误)。三个指标分别为:Total profile (整体表现),Number of task attempted (尝试的任务个数),Rule break (违反规则)。横断比较的结果由括号表示,追踪数据的结果在每个年龄组的图示后面显示。*表示 p < .05, m表示边缘显著 ( .05 < p < .10), n.s. 表示不显著。

图2. 三个年龄组儿童在三个时间点儿童格林威治任务的表现(包括平均数和标准误)。六个指标分别为:Learn score (规则学习),Plan (计划),Plan follow (计划执行),Perform (整体表现),Monitor(监测功能),Memory (规则记忆能力)。横断比较的结果由括号表示,追踪数据的结果在每个年龄组的图示后面显示。 *表示 p < .05, m 表示边缘显著( .05 < p < .10),n.s.表示不显著。
总而言之,这些结果不仅描述了7至12岁儿童多重任务能力及相关认知功能的发展规律,也揭示了儿童多重任务能力特定年龄的相关特征。此外,这些发现也为提高正常儿童的多重任务能力,以及通过认知干预弥补异常儿童在这一能力上的潜在缺损提供了有效信息。
该研究受到北京市科学与技术领军人物项目,国家自然科学基金,中国科学院国际创新团队研究项目和中国科学院心理研究所心理健康重点实验室的资助。
文章已在线发表于Journal of Experimental Child Psychology期刊:
Yang, T. X., Xie, W., Chen, C. S., Algassen, M., Wang, Y., Cheung, E. F. C., Chan, R. C. K.* (2017). The developmental of multitasking in children aged 7 to 12: Evidence from cross-sectional and longitudinal data. Journal of Experimental Child Psychology, 161, 63-80.
https://doi.org/10.1016/j.jecp.2017.04.003
附件下载: